Положення про рейтингове оцінювання діяльності
науково-педагогічних працівників, кафедр і факультетів
Національного аерокосмічного університету
«Харківський авіаційний інститут»
Затверджено:
Вченою радою
Національного аерокосмічного університету
«Харківський авіаційний інститут»
протокол № 4 від 23 грудня 2015 року
СУЯ ХАІ-НМВ-П/001:2015
Дата введення 24 грудня 2015 р.
Редакція № 1
1. Загальні положення
1.1 Положення про рейтингове оцінювання діяльності науково- педагогічних працівників (далі - НІНІ), кафедр і факультетів (далі - Положення) у Національному аерокосмічному університеті «Харківський авіаційний інститут» (далі - Університет) розроблено відповідно до закону України «Про вищу освіту» від 01.07.2014 р. № 1556-VІІ.
1.2 Рейтингове оцінювання діяльності НПП, кафедр і факультетів Університету - одна із форм кількісного аналізу та контролю розвитку і підвищення якості діяльності Університету з урахуванням вкладу в нього всіх НПП, кафедр та факультетів, що забезпечує ефективний моніторинг.
1.3 Рейтингова оцінка діяльності - кількісний показник результатів якості роботи НПП, кафедр, факультетів, що формується за основними напрямами діяльності.
1.4 Об’єктами рейтингового оцінювання є особисті досягнення за усі роки роботи, викладацька та наукова роботи, виконані за поточний навчальний рік .
1.5 Головними завданнями рейтингового оцінювання в університеті є:
- створення інформаційної бази для аналізу і оцінки результатів діяльності викладачів, кафедр і факультетів університету;
- визначення кращих показників діяльності НПП та Університету в цілому;
- відповідність сучасним тенденціям розвитку вищої освіти України;
- посилення зацікавленості науково-педагогічних працівників у підвищенні своєї професійної кваліфікації, в освоєнні передового педагогічного досвіду, в творчому підході до процесу викладання;
- забезпечення більшої об’єктивності оцінок якості діяльності викладачів за рахунок повноти та достовірності інформації;
- посилення колективної зацікавленості викладачів в покращенні кінцевих результатів підготовки освітньо-кваліфікаційних рівнів випускників;
- диференціація оцінки діяльності для забезпечення стимулювання найбільш ефективної частини викладацького складу.
1.6 Система визначення рейтингу НПП, факультетів Університету ґрунтується на наступних засадах:
- заохочення: система направлена не на штрафні санкції стосовно менш результативних показників діяльності, а на стимулювання праці осіб, що мають кращі результати в роботі;
- прозорість: система показників, за якими визначається рейтинг є доступною для НПП;
- достовірність: враховуються лише ті види діяльності, результати яких можуть бути документально підтверджені;
- доступність: легкість сприйняття системи оцінювання та забезпечення дистанційного доступу до неї;
- гнучкість: можливість встановлення пріоритетів за рахунок зміни показників для оцінки видів діяльності або коефіцієнтів для цих показників.
1.7 Показники системи визначення рейтингу затверджуються вченою радою Університету.
2. Процедура проведення рейтингового оцінювання НПП, кафедр і факультетів Університету
2.1 Визначення рейтингу НПП, кафедр і факультетів здійснюють за бальною системою шляхом сукупності елементарних закінчених видів діяльності, які включені до відповідних напрямів діяльності.
Ваговий коефіцієнт кожного показника визначається в балах (табл. А.1 додатку А і Б.1 додатку Б).
Кількість балів за окремими пунктами рейтингу можуть змінюватись щорічно.
До пунктів 1, 2.1, 2.2, 2.3, 2.4, 2.5, 3 можуть встановлюватись поправні коефіцієнти (початкові значення цих коефіцієнтів дорівнюють одиниці).
2.2 Оцінювання діяльності НПП проводиться за допомогою он-лайнової інформаційно-рейтингової системи «Рейтинг науково-педагогічних працівників ХАІ» (далі - РНПП), що знаходиться за адресою https://rating.khai.edu/.
2.3 Для участі у рейтингу всі НПП повинні бути зареєстровані в системі РНПП та регулярно заповнювати форми, що відповідають видам діяльності, що виконані цим НПП.
2.4 Заповнення усіх форм здійснюють українською мовою за винятком даних про публікації, які заповнюють мовою, якою їх надруковано.
2.5 Персональні дані НПП (дата народження, номера та серії дипломів і атестатів) підлягають зберіганню в базі даних РНПП у шифрованому вигляді з обмеженим доступом.
2.6. НПП підключенням до РНПП надає згоду на оброблення персональних даних, які перераховані в п. 2.5.
2.7 Рейтинг НПП визначають шляхом підсумування усіх балів відповідно до заповнених форм.
2.7 Контроль внесення даних (заповнення форм) НПП здійснює відповідальна особа, що призначається окремо для кожної кафедри.
2.8 Вибірковий контроль достовірності введених даних за кафедрами здійснює спеціально створена комісія за наказом ректора або проректора Університету з науково-педагогічної роботи.
2.9 При підрахунку рейтингових оцінок враховуються тільки ті показники діяльності НПП, які можуть бути підтверджені та перевірені. Підтвердженням того чи іншого результату діяльності НПП є: індивідуальний план викладача, завантажена у базу РНПП фотокопія чи сканована версія документу, що підтверджує наявність цього результату, або/та посилання на офіційний Інтернет-ресурс з підтвердженням.
3. Термін надання даних науково-педагогічних працівників Університету
3.1 Дані щодо своєї навчальної діяльності НПП вносить до кінця навчального року, але не пізніше 15 червня.
3.2 Дані щодо своєї наукової діяльності у поточному році (п. 2.3.1, 2.3.2, 2.3.4, 3.1, 3.2) НПП вносить до кінця поточного року, але не пізніше 15 грудня, для забезпечення їх доступності при формуванні річних звітів університету.
3.3 Якщо термін надання даних щодо наукової діяльності НПП у поточному році порушено, то бали, які отримує працівник за ці показники, рахуються із зменшуваним коефіцієнтом.
Остаточний рейтинг по навчальному році, що скінчився, формується до 20 червня.
4. Процедура оцінювання діяльності НПП, кафедр і факультетів
4.1 Рейтингове оцінювання діяльності НПП, кафедр і факультетів Університету здійснює рейтингова комісія, яку призначено наказом (розпорядженням) ректора чи проректора Університету з науково-педагогічної роботи, до початку наступного навчального року.
4.2 Рейтингове оцінювання НПП та підрозділів Університету здійснюється за такими окремими категоріями:
- аспірант,
- молодий викладач (до 35 років),
- асистент,
- старший викладач,
- доцент,
- професор,
- завідувач кафедри,
- кафедра,
- факультет.
4.3 За результатами оцінювання рейтингова комісія готує відповідний звіт і подає його на розгляд вченої ради Університету за 5 днів до її засідання.
4.4 Представник рейтингової комісії доповідає результати рейтингового оцінювання на засіданні вченої ради Університету.
4.5 Вчена рада Університету затверджує результати рейтингового оцінювання.
4.6 Затверджені рейтингові оцінки оприлюднюються.
4.7 За результатами рейтингових оцінок визначають переможців за такими номінаціями:
- Кращий аспірант,
- Кращий молодий викладач,
- Кращий асистент,
- Кращий старший викладач
- Кращий доцент,
- Кращий професор,
- Кращий завідувач кафедри,
- Краща кафедра,
- Кращий факультет.
4.8 Обсяги та порядок матеріального заохочення серед переможців категорій НПП та кафедр, які за результатами комплексної оцінки посіли призові місця, а також кількість призових місць, визначає ректор.
5. Процедура розрахунку рейтингових оцінок
5.1 Нормування рейтингових оцінок проводять перед їх оприлюдненням за формулою:
НР = Р/МР
де НР - нормований рейтинг працівника (чи кафедри, факультету), Р - рейтинг до нормування, МР - медіана рейтингів у даній номінації (аспіранти, асистенти, старші викладачі, молоді викладачі, доценти, професори, завідувачі кафедр, кафедри, факультети).
5.2 Рейтинг НПП розраховують за наступною процедурою:
1) Рейтинг штатних НПП, що працюють на повну ставку або більше:
ОР = тіп(1548, І/С) + Д,
РК = тіп(1548*С, І) + Д.
2) Рейтинг викладачів-сумісників (С < 1):
ОР = тіп(1548, І/С) + Д,
РК = тіп(1548*С, І) + Д*С.
3) Рейтинг аспірантів:
ОР = тах[тіп(100, І), тіп(1548, І/С)] + Д,
РК= тіп(100, І) + Д*(1-С).
4) Рейтинг докторантів:
РК= тіп(100, І) + Д*(1-С).
У формулах, наведених вище, введені такі позначення: I - бали за роботи, які входять в індивідуальний план (норма - 1548 годин), Д - бали за інші роботи, С - ставка в одиницях, на яку оформлений цей працівник, ОР - особистий рейтинг працівника, РК - внесок цього працівника в рейтинг кафедри.
Аспіранти можуть брати участь у декількох номінаціях - як аспірант та, наприклад, як асистент (якщо він працює асистентом за сумісництвом). Вклад докторантів у рейтинг кафедр вираховується аналогічно вкладу аспірантів, але окремої номінації для докторантів не передбачається внаслідок їх нечисленності. Вони можуть брати участь у рейтингу лише як викладачі (якщо працюють на посаді викладача за сумісництвом).
НПП, які працюють за сумісництвом та оформлені менш ніж на 0,25 ставки, не можуть претендувати на призове місце у відповідній номінації.
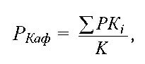
5.3 Рейтинг кафедр розраховують за сумою рейтингів НПП кафедри по відношенню до кількості штатних викладацьких одиниць за формулою:

де Ркаф - рейтинг кафедри, РКі - рейтинг і-того працівника кафедри, К - кількість штатних викладацьких одиниць на кафедрі.
5.4 Рейтинг завідувача кафедри складається з особистого рейтингу, який враховується з коефіцієнтом 0,3, та рейтингу кафедри, який враховується з коефіцієнтом на 0,7, і визначається за формулою:

де РЗ - рейтинг завідувача кафедри, ОРз - особистий рейтинг завідувача кафедри, як працівника університету, Ркаф - рейтинг кафедри.
5.5 Рейтинг факультетів розраховують за зваженою сумою рейтингів кафедр за формулою:

де РФак - рейтинг факультету, Ркафj - рейтинг j-й кафедри, Кj - кількість штатних викладацьких одиниць на j-й кафедрі.
6. Показники науково-педагогічної діяльності працівників Університету
6.1 Рейтингове оцінювання даних НПП здійснюється за критерієм - один бал рейтингу дорівнює 1 годині роботи НПП.
Очікувана сума рейтингових балів для НПП, який працює на повному окладі, може дорівнювати 1548 балів та вище (може бути меншою, якщо в індивідуальному плані НІ 111 є види діяльності, що не враховуються в РНПП).
6.2 Показники, які відносяться до особистих даних НПП, що заповнюються у перший рік впровадження рейтингу, наведено у додатку А.
У наступних роках ці дані оновлюються тільки за необхідністю (за наявністю фактичних змін у цих даних).
6.3 Показники, які відносяться до діяльності працівника у поточному році, та впливають на показники (рейтинг) Університету у наступному році наведено у додатку Б.
6.4 Сума балів за кожну публікацію за наявністю співавторів ділиться на кількість цих співавторів (у табл. Б. 1 позначено знаком “
”).
6.5 Для деяких видів публікацій в у табл. Б.1 вказано "За відсутності в електронному каталозі бібліотеці ХАІ бали діляться на 10". Щоб бали за таку публікацію не ділилися на 10, автор повинен зареєструвати цю монографію (підручник, навчальний посібник, тощо) у електронному каталозі бібліотеці ХАІ, та надати в бібліотеку ХАІ як мінімум 1 примірник цієї публікації.
6.6 До рейтингу зараховується участь тільки у тих міжнародних проектах, де виконавцем (одержувачем коштів) є ХАІ, чи підрозділ ХАІ. Особисті міжнародні гранти у рейтингу не враховуються.
Додаток А
Показники, які відносяться до особистих даних НПП
Таблиця А.1
№ | Найменування | Варіанти | Орієнтовна кількість балів (годин) |
1. Особисті дані | |||
1.1 | Прізвище, Ім’я, По-батькові | - | - |
1.2 | Дата народження | - | - |
1.3 | Диплом про кваліфікацію | диплом про вищу освіту | 10 |
диплом кандидата наук | 25 | ||
закордонний диплом PhD | 25 | ||
диплом доктора наук | 50 | ||
1.4 | Науково-педагогічний стаж | - | 1 за один рік |
1.5 | Посада (із зазначенням штатний або сумісник) |
| - |
1.6 | Ставка (в долях від одиниці) |
| - |
1.7 | Вчене звання | с.н.с | 25 |
доцент | 25 | ||
професор ХАІ | 35 | ||
професор | 50 | ||
1.8 | Членство в національній академії наук або в галузевих академіях наук | дійсний член національної академії наук | 100 |
член-кореспондент національної академії наук | 75 | ||
дійсний член або член- кореспондент галузевої академії наук (національних академій: педагогічних наук, правових наук, аграрних наук, медичних наук, мистецтв) | 50 | ||
1.9 | Лауреат Державної премії | державна премія України в галузі науки та техніки | 40 |
державна премія України ім. Т. Шевченко | |||
Державна премія України в галузі освіти | |||
стипендії Верховної Ради | |||
Стипендії Кабінету Міністрів | |||
Державні премії для молодих вчених | |||
1.10 | Володар почесного звання України | Відповідно до закону «Про державні нагороди України» | 20 |
1.11 | Загальна кількість публікацій (заповнюється за бажанням ) | вказується посилання на аккаунт в Google Scholar , Scopus , ORCID , Research Gate із списком публікацій | 1 бал за 20 публікацій |
1.12 | Наукові публікації з індексом цитування Google Scholar більше порогу ( поріг встановлюється щорічно так, щоб перевищувати індекс Хірша ХАІ ) | вказується посилання на статтю на Google Scholar | 10 балів за 1 таку публікацію |
Додаток Б
Показники, які відносяться до діяльності НПП у поточному навчальному році
Таблиця Б.1
№ | Найменування | Варіанти | Орієнтовна кількість балів (годин) |
2. Робота викладача чи наукового співробітника | |||
2.1 Навчальні доручення | |||
2.1 | Навчальні доручення (перша половина дня) | Сума годин за семестр (заповнюється суворо відповідно до пункту 1 індивідуального плану) | 1 бал за 1 годину |
2.2. Навчально-методична робота | |||
2.2.1 | Підготовка до занять (друга половина дня) | Сума годин за семестр (переноситься відповідна сума з індивідуального плану) | 1 бал за 1 годину |
2.2.2 | Навчальний посібник або підручник (з датою виходу в звітний період) За відсутності в електронному каталозі бібліотеці ХАІ бали діляться на 10 | конспект лекцій, довідник | 50 балів на 1 друкований аркуш |
навчальний або методичний посібник | |||
підручник | |||
інші навчально-методичні матеріали | 25 балів на 1 друкований аркуш | ||
2.2.3 | Супровід навчальних дисциплін (друга половина дня) | Сума годин за семестр (переноситься відповідна сума з індивідуального плану) | 1 бал за 1 годину |
2.3. Науково-дослідна робота | |||
2.3.1 | Наукова публікація (з виходом в звітний період) | Монографія, опублікована за кордоном на одній з мов Євросоюзу | 120 балів на 1 друкований аркуш |
Монографія, опублікована в Україні чи СНГ українською чи російською мовою та є в електронному каталозі бібліотеці ХАІ | 60 балів на 1 друкований аркуш | ||
Монографія, опублікована в Україні чи СНГ українською чи російською мовою, якої немає в електронному каталозі бібліотеці ХАІ | 6 балів на 1 друкований аркуш | ||
Стаття в журналі, що входить до переліку Scopus, SNIP>0,8 | 400 балів на 1 друкований аркуш | ||
Стаття в журналі, що входить до переліку Scopus, SNIP<0,8 | 200 балів на 1 друкований аркуш | ||
Стаття в журналі, що входить до переліку ВАК | 80 балів на 1 друкований аркуш 60 балів на 1 друкований аркуш | ||
стаття в журналі, що входить в перелік міжнародної науково- метричної бази | |||
|
| стаття в іншому журналі | 20 балів на 1 друкований аркуш |
доповідь на конференції, що врахована в Scopus | 100 балів | ||
доповідь на закордонній або англомовній конференції | 80 балів | ||
доповідь на іншій конференції | 20 балів | ||
2.3.2 | Патенти, корисні моделі, свідоцтва на програмне забезпечення | подана заявка в звітному періоді | 25 балів |
отримано свідоцтво в звітному періоді | 50 балів | ||
2.3.3 | Керівництво роботою студента | число дипломників з оцінкою відмінно з датою захисту в звітний період (бакалаври, спеціалісти та магістри) | 10 за кожного |
наукова публікація, патент або корисна модель у звітний період (у співавторстві зі студентом) | 10 за кожний | ||
керівництво дипломами магістрів в рамках наукових проектів за програмами Темпус та Еразмус + | 20 за кожного | ||
| Керівництво роботою студента (продовження) | керівництво студентом, призером II етапу всеукраїнської студентської олімпіади або II туру всеукраїнського конкурсу студентських наукових робіт | 30 |
керівництво студентом, призером міжнародного творчого конкурсу чи фестивалю | 30 | ||
керівництво проектом МАН за умови виходу до другого етапу | 20 | ||
керівництво студентом, який отримав стипендію фонду Пінчука за програмою "Завтра.UA" | 50 | ||
підготовка студента, що став в звітний період призером змагань (Олімпіади, чемпіонатів світу, Європи, України, всесвітньої та української Універсіад, студентських чемпіонатів світу, Європи, України) | ОИ - 1000, ЧМ - 500, ЧЄ - 250, ВУ - 150, інші - 50 | ||
2.3.4 | Керівництво та консультування здобувачів (з датою затвердження захищеної дисертаційної роботи в звітний період) | Керівник кандидата наук, що захистився | 400 |
Науковий консультант доктора наук, що захистився | 800 | ||
2.3.5 | Робота в редколегії наукових журналів і збірників |
| 20 балів за номер |
2.3.6 | Участь у оргкомітеті чи у програмному комітеті конференцій | що врахована в Scopus | 20 балів за конференцію |
інші Міжнародні конференції | 10 балів за конференцію | ||
інші Всеукраїнські конференції | 5 балів за конференцію | ||
2.3.7 | Рецензування монографій, підручників, посібників, наукових проектів, дисертацій, відгуків на автореферати, винаходи | внутрішньовузівське рецензування навчально- методичної літератури ХАІ | 3 бали на друкований аркуш |
монографій | |||
підручників, навчальних посібників | |||
наукових проектів | |||
опонування кандидатської дисертації | 25 | ||
опонування докторської дисертації | 40 | ||
відгук на автореферат кандидатської дисертації | 10 | ||
відгук на автореферат докторської дисертації | 20 | ||
2.3.8 | Робота в наукових радах (друга половина дня, переноситься відповідна сума з індивідуального плану) | Участь в роботі секцій Наукової Ради МОН | 1 бал за 1 годину |
Робота в спеціалізованих радах по захисту дисертації | 1 бал за 1 годину | ||
Робота в науково-технічній раді університету | 1 бал за 1 годину | ||
Участь у експертній раді МОН | 1 бал за 1 годину | ||
2.3.9 | Виконання планових наукових досліджень | Участь у виконанні держбюджетної наукової теми в якості керівника або відповідального виконавця | 150 |
Участь у виконанні держбюджетної наукової теми в якості виконавця | 25 | ||
Участь у виконанні госпдоговірної наукової теми в якості керівника або відповідального виконавця | 150 | ||
Участь у виконанні госпдоговірної наукової теми в якості виконавця | 25 | ||
Участь у розроблянні внурішньоуніверситетських документів в якості виконавця | 50 балів за документ | ||
2.3.10 | Участь у наукових проектах за програмами Еразмус Мундус, Г оризонт 2020 та інших міжнародних грантів | Участь у виконанні міжнародних наукових проектах в якості керівника або відповідального виконавця | 200 |
Участь у виконанні міжнародних наукових проектах теми в якості виконавця | 50 | ||
2.4. Організаційно-методична робота | |||
2.4.1 | Робота в комісіях та експертних радах (друга половина дня) (переноситься відповідна сума з індивідуального плану) | Робота в експертній комісії ВАК | 1 бал за 1 годину |
Робота в експертній комісії ДАК | |||
Робота в НМК МОНУ | |||
Робота в методичних комісіях і радах університету, факультету | |||
2.4.2 | Організаційно- методична робота за завданням ректорату або деканату (друга половина дня) | Вчений секретар спеціалізованої вченої ради по захисту дисертацій | 100 |
Заступник завідувача кафедри | 100 | ||
секретар кафедри | 50 | ||
Вчений секретар університету | 300 | ||
Г олова методичної комісії (переноситься відповідна сума з індивідуального плану) | 1 бал за 1 годину | ||
Відповідальний за розвиток сайту кафедри, факультету, вузу | 50 | ||
Відповідальний по кафедрі за заповнення рейтингу науково-викладацького складу ХАІ | 30 | ||
2.4.3 | Організація конференцій, симпозіумів та ін. заходів (друга половина дня, відповідна сума переноситься з індивідуального плану) | Міжнародна і загальнодержавна конференція, симпозіум, семінар | 1 бал за 1 годину |
Студентська олімпіада | |||
Конкурсно-спортивні заходи | |||
2.4.4 | Професійна та довузівська підготовка молоді (друга половина дня, відповідна сума переноситься з індивідуального плану) |
| 1 бал за 1 годину |
2.4.5 | Керівництво філією ФМШ, НКП, технічними класами |
| 25 |
2.4.6 | Організація та проведення олімпіад на виїзді |
| 1 бал за 1 годину |
2.4.7 | Керівництво студентським науковим гуртком (друга половина дня, відповідна сума переноситься з індивідуального плану) |
| 1 бал за 1 годину |
2.4.8 | Участь у роботі приймальної комісії (за розпорядженням декана) |
| 6 балів за день не більше 60 днів |
2.4.9 | Участь у засіданнях кафедри та науково- методичних семінарах (друга половина дня, відповідна сума переноситься з індивідуального плану) |
| 1 бал за 1 годину |
2.5. Виховна робота | |||
2.5.1 | Виконання обов'язків куратора академічної групи | (відповідна сума переноситься з індивідуального плану) | 1 бал за 1 годину не більше 100 годин |
2.5.2 | Індивідуальна виховна робота (друга половина дня) | заступника декана (відповідна сума переноситься з індивідуального плану) | 1 бал за 1 годину; не більше 50 годин |
викладача (відповідна сума переноситься з індивідуального плану) | 1 бал за 1 годину; не більше 50 годин | ||
3. Підвищення кваліфікаційного рівня, нагороди і гранти | |||
3.1 | Здобуття наукового ступеня в звітний період | кандидата наук | 1000 |
Ph.D (закордонному ВНЗ) | 1000 | ||
доктора наук | 2000 | ||
3.2 | Отримання вченого звання в звітний період | с.н.с | 150 |
доцент | 150 | ||
професор | 250 | ||
3.3 | отримання Державної премії в звітний період | державна премія України в галузі науки і техніки, державна премія України ім. Т.Шевченка, державна премія України в галузі освіти | 4000 |
3.4 | отримання стипендії в звітний період | президента України | 50 |
Верховної Ради | |||
кабінету міністрів України | |||
3.5 | Отримання почесного звання України в звітний період |
| 200 |
3.6 | Отримання в звітний період членства в національній академії наук або в галузевих академіях наук | дійсний член національної академії наук | 1000 |
член-кореспондент національної академії наук | 750 | ||
дійсний член або член- кореспондент галузевої академії наук (національних академій: педагогічних наук, правових наук, аграрних наук, медичних наук, мистецтв) | 500 | ||
3.7 | Державні нагороди (в звітний період) |
| 100 |
3.8 | Відомчі нагороди (в звітний період) |
| 75 |
3.9 | Особиста перемога в конкурсах (міжнародних, всеукраїнських, обласних, міських) в звітний період |
| 25 |
3.10 | Особисте отримання гранту Президента для науковців, гранту ОДА для молодих вчених в звітний період |
| 150 |
3.11 | Отримання міжнародного гранту (співвиконавець - ХАІ) у звітний період |
| 1000 |
3.12 | Отримання гранту ДФФД в звітний період |
| 1000 |
3.13 | Подані заявки в звітний період | На державну премію | 50 |
На стипендію (президента, ВР, кабінету міністрів) | 10 | ||
На грант (Президента для молодих вчених, гранту ОДА для молодих вчених) | 25 | ||
На грант ДФФД | 50 | ||
3.14 | Диплом про підвищення кваліфікації (внутрішні та зовнішні), що має офіційний статус у звітній період |
| 50 |


